Главная идея проекта Breakthrough Initiatives Starshot состоит в запуске крошечного космического аппарата (наноспутника), который сможет развить сверхвысокую скорость и добраться до ближайшей звезды (не до Солнца) за 20 лет. Вот известные мне важные детали (не исключено, что часть из них это просто предположения).
— Наноспутник будет очень маленький, имея массу всего «несколько граммов». Размер имеет значение — и я скажу вам, почему.
— В движение аппарат будет приводиться лазером наземного базирования на 100 гигаватт, а также солнечным парусом площадью один квадратный метр (я расскажу, как он работает).
— Наноспутник сможет передавать сообщения на Землю при помощи собственного лазера (не на 100 гигаватт).
Этого достаточно, чтобы поговорить о некоторых идеях из области физики, имеющих отношение к проекту Starshot.
Как можно разогнать космический аппарат при помощи света?
Да, свет оказывает силовое воздействие на объект. По этой самой причине у кометы есть хвост, смотрящий в противоположную сторону от Солнца. Так же работает и солнечный парус.
Позвольте начать со света. Самое важное — понять, что свет это электромагнитная волна. Это значит, что он состоит из пульсирующего электрического поля и пульсирующего магнитного поля. Свет вообще невозможен без пульсирующего электрического и магнитного поля. Такие пульсирующие поля позволяют свету быть волной, которой не нужна среда для совершения колебаний. Таким образом, свет может перемещаться через пустоту (типа космического пространства). И наконец, нам нужно знать, что электрическое и магнитное поля в свете всегда перпендикулярны друг другу, а также перпендикулярны направлению движения света.

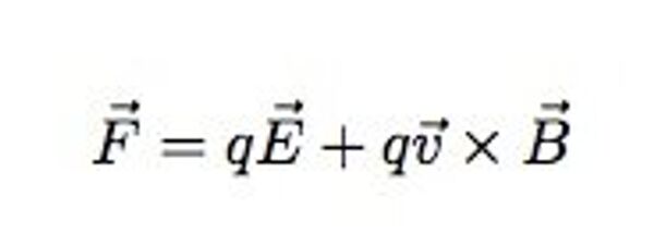
Теперь что касается материи. Практически все, что мы видим, состоит из положительных и отрицательных зарядов (например, протоны и электроны). У заряженных частиц есть сила, которая зависит от электрического и магнитного поля. Мы называем ее силой Лоренца.

В этом уравнении у нас есть следующие переменные:
q — значение заряда
Е — векторное значение электрического поля
В — векторное значение магнитного поля
v — векторное значение скорости заряда.
Если у нас есть свет от позитивного электрического заряда в положении покоя, то сила будет воздействовать на него в направлении электрического поля (поскольку скорость равна нулю). Предположим, у нас имеется электромагнитная волна с электрическим полем в направлении y, и магнитное поле в направлении х со знаком минус, в результате чего свет движется в направлении z со знаком плюс. Тогда этот положительный заряд начнет двигаться в направлении y со знаком плюс. Вот картинка.

Но теперь у нас движущийся положительный заряд. Направление магнитной силы, воздействующей на такую положительно заряженную частицу, можно определить при помощи правила правой руки. Опущу детали и скажу лишь, что направление этой магнитной силы сейчас то же, что и направление движения света. Таким образом, свет подталкивает этот положительный заряд.
Теперь рассмотрим отрицательный заряд. Действующая на этот отрицательный заряд электрическая сила идет в направлении у с отрицательным знаком, а поэтому он начнет двигаться вниз. Но магнитная сила будет по-прежнему в направлении распространения света, поскольку эта магнитная сила зависит от значений q и v (а они противоположны соответствующим значениям положительного заряда). Таким образом, свет подталкивает и отрицательный, и положительный заряд в одном и том же направлении.

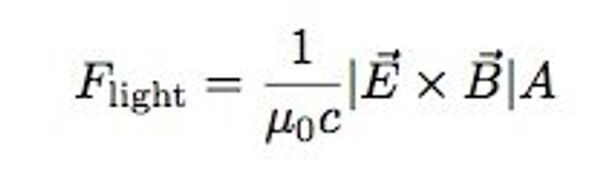
Но перемещение этих частиц ничтожно, вследствие чего результирующая сила также довольно мала. Сила от света невелика, а поэтому ей нужна компенсирующая подпитка в виде очень яркого света (это большие значения электрического и магнитного полей). Вот для чего нужен лазер на 100 гигаватт.
Почему космический аппарат должен быть такой маленький?
Размер имеет значение. В данном случае у более крупного объекта будет больше зарядов, взаимодействующих со светом и создающим большую силу. Разумно, ведь так? Поскольку эта сила света зависит от площади поверхности, величину этой силы я могу записать следующим образом:

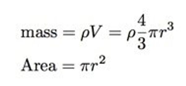
Предположим, мы хотим воспользоваться сферическим космическим аппаратом (пока забудем про солнечный парус). Мы можем рассчитать две важные характеристики для этого аппарата — массу и площадь поверхности, смотрящей в сторону лазера. Если предположить, что плотность корабля ρ, а поверхность это обычный круг, то мы получим следующее:

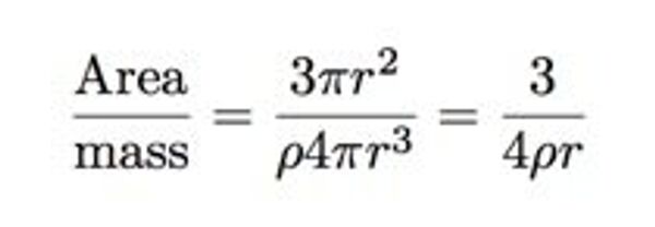
Мы помним: ускорение прямо пропорционально силе (которая прямо пропорциональна площади) и обратно пропорционально массе. Проще взять отношение площади к массе, поскольку оно прямо пропорционально ускорению.

Если форма и плотность космического аппарата постоянны, то ускорение будет обратно пропорционально размеру. Удвоим размер аппарата, и ускорение будет составлять лишь половину. Таким образом, чем меньше, тем лучше.
Ах, да, у нас же есть солнечный парус. Это так, но если мы удвоим радиус космического корабля, нам придется увеличить площадь поверхности паруса в четыре раза. Больше корабль — больше парус. Но парус увеличивается гораздо быстрее.
Теперь надо ответить на следующий вопрос: можно ли построить такой маленький корабль, чтобы он все равно выполнил свою задачу? Это будет непросто. Но этим-то и интересен проект: здесь все трудно и все впервые.
